Łodziak Beata
Zestaw zadań na sprawdzian z zakresu równań i nierówności kwadratowych dla klasy I liceum zawodowego realizującego poziom podstawowy.
Poniżej proponuję zestaw zadań na sprawdzian z zakresu równań i nierówności kwadratowych dla klasy I liceum zawodowego realizującego poziom podstawowy. Celem tego sprawdzianu jest zbadanie umiejętności posługiwania się algorytmami rozwiązywania równań, nierówności i układów równań, a nie ich zastosowanie w rozwiązywaniu problemów praktycznych. W związku z tym, że moi uczniowie są w dużej większości uczniami co najwyżej dostatecznymi, więc postanowiłam przeznaczyć na prace pisemną całą godzinę lekcyjną. Przyjęte przeze mnie kryteria oceny są następujące:
9 pkt – 10 pkt bardzo dobry
7 pkt – 8 pkt dobry
5 pkt – 6 pkt dostateczny
3 pkt – 4 pkt dopuszczający
0 pkt – 2 pkt niedostateczny
Warunkiem otrzymania oceny celującej jest otrzymanie co najmniej 9 punktów i rozwiązanie zadania 3.
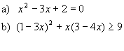
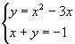
GRUPA I
1. Rozwiąż równanie i nierówność:

2 pkt + 3 pkt
2. Rozwiąż graficznie i algebraicznie układ równań:

3 pkt + 2 pkt
3.* Dane jest równanie : x2– 2(m – 2)x + 4 – m2 = 0. Dla jakiej wartości parametru m równanie ma dwa różne pierwiastki?
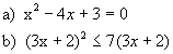
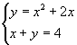
GRUPA II
- Rozwiąż równanie i nierówność:

2. Rozwiąż graficznie i algebraicznie układ równań

3.* Dane jest równanie : x2– 2(1 + m )x + 1 – m2 = 0. Dla jakiej wartości parametru m równanie ma dwa różne pierwiastki?





![Dzień Dziecka na Długiej w Raciborzu [ZDJĘCIA] Dzień Dziecka na Długiej w Raciborzu](https://raciborz.com.pl/wp-content/uploads/2026/05/dzien-dziecka-na-dlugiej.jpg)
![Transgraniczna współpraca bibliotek trwa. Wspólne zwiedzanie Raciborza [ZDJĘCIA]](https://raciborz.com.pl/wp-content/uploads/2026/05/raciborz-karwina-biblioteka-nie-ogranicza.jpg)





![Ogólnopolski Tydzień Czytania Dzieciom w Raciborzu rozpoczęty [ZDJĘCIA] Ogólnopolski Tydzień Czytania Dzieciom w Raciborzu rozpoczęty](https://raciborz.com.pl/wp-content/uploads/2026/05/tydzien-czytania-dzieciom.jpg)


![Dzieci z Przedszkola nr 15 mają nowy plac zabaw [ZDJĘCIA]](https://raciborz.com.pl/wp-content/uploads/2026/05/przedszkole-nr-15-raciborz-plac-zabaw.jpg)



![Protesty nie zatrzymały wycinki. Lipy zniknęły z cmentarza przy ul. Głubczyckiej [ZDJĘCIA]](https://raciborz.com.pl/wp-content/uploads/2026/03/lipy-cmentarz-glubczycka.jpg)





.jpg)




twórcze,godne polecenia….bardzo praktyczne